Asociación de Cuadripolos
En grandes sistemas es más fácil analizar los subcircuitos y como están conectados. Generalmente estos subcircuitos son redes de dos puertas que se pueden caracterizar mediante cualquier familia de parámetros.
Tipos de asociaciones:
- En cascada

- En serie (serie-serie)

- En paralelo (paralelo-paralelo)

- En serie-paralelo

- En paralelo-serie

Conexión en cascada
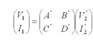
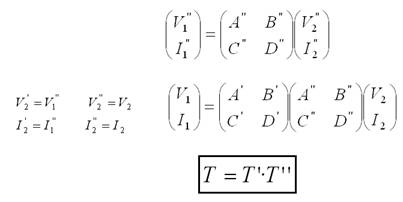
Los parámetros de transmisión T son los más apropiados para describir la conexión en cascada.

Cuadripolo A:

Cuadripolo B:

Por tanto, solo es necesario multiplicar las matrices de parámetros de transmisión de cada cuadripolo aislado.
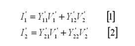
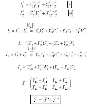
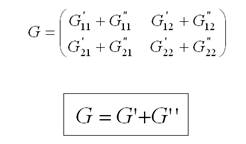
Conexión en paralelo
Determinaremos la matriz de admitancias Y.

Cuadripolo A:

Cuadripolo B:

Por tanto, solo es necesario sumar las matrices de parámetros de transmisión de cada cuadripolo aislado.
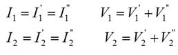
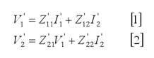
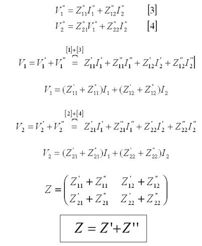
Conexión en serie
Determinaremos la matriz de impedancias Z.


Cuadripolo A:

Cuadripolo B:

Por tanto, solo es necesario sumar las matrices de parámetros de transmisión de cada cuadripolo aislado.
Conexión en paralelo-serie
Utilizando los parámetros g y procediendo de forma similar a las anteriores conexiones:

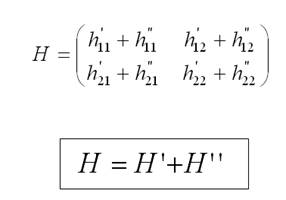
Conexión en serie-paralelo
Utilizando los parámetros h y procediendo de forma similar a las anteriores conexiones:
