Parámetros característicos y su determinación
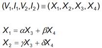
Se pueden establecer dos expresiones lineales (son circuitos lineales) que relacionan las 4 variables del cuadripolo (V1, I1, V2, I2) y lo describen en función de 4 parámetros.
2 ecuaciones y 4 incógnitas

2 ecuaciones lineales con
4 parámetros α, β, γ, δ
4 incógnitas (X1, X 2, X3, X4)
2 variables libres (independientes) a elegir entre las 4 y 2 variables dependientes. (X3,X4 libres y X1,X2 dependientes).
Según las variables dependientes elegidas los 4 parámetros reciben nombres diferentes. La elección de la familia de parámetros vendrá determinada por la aplicación requerida.
Parámetros Z (Impedancia)
Variables independientes → Corrientes
Variables dependientes → Tensiones

Para calcular cada uno de los parámetros de la matriz Z:

Parámetros Y (Admitancia)
Variables independientes → Tensiones
Variables dependientes → Corrientes

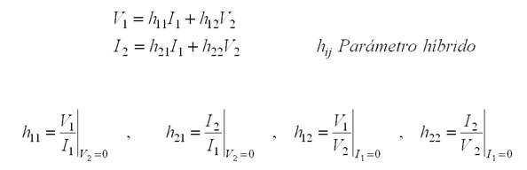
Parámetros h (híbridos)
Variables independientes → I1, V2
Variables dependientes → V1, I2

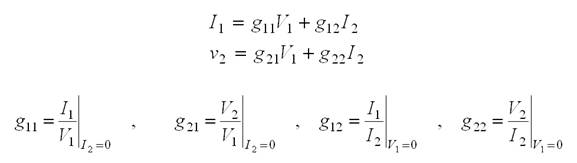
Parámetros g
Variables independientes → V1, I2
Variables dependientes → V2, I1

Parámetros de transmisión
También conocidos como parámetros T o parámetros A, B, C, D.
Variables independientes → las de salida V2, I2
Variables dependientes → las de entrada V1, I1

Son especialmente útiles al asociar cuadripolos en cascada.