Relaciones entre familias de parámetros
Los parámetros de las distintas familias están relacionados entre sí. Cualquier cuadripolo queda completamente descrito por cualquiera de las relaciones.
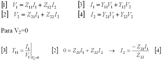
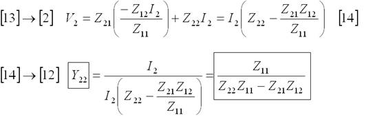
Ejemplo: Expresar los parámetros Y en función de los Z (método de sustitución)



Parámetros de cuadripolos bilaterales y simétricos:
Si el cuadripolo es bilateral (R,L,C sin f.dependientes) :
- Z12=Z21
- Y12=Y21
- h12= -h21
- g12= -g21
- AD-BC=1
El cuadripolo bilateral se podrá caracterizar únicamente conocidos 3 parámetros.
Si el cuadripolo es simétrico se cumple que:
- Z11=Z22
- Y11=Y22
- |h|=1
- |g|=1
- A=D
Un cuadripolo bilateral y simétrico se caracteriza por sólo conocer 2 de sus parámetros.