Frecuencia de resonancia de un circuito
Es la frecuencia Wo a la cual la impedancia equivalente de un circuito es puramente real (la parte imaginaria es nula).

Zequiv Se calcula de forma similar a la Rthevenin Si hay fuentes dependientes aplicar fuente de test.
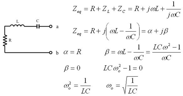
- Frecuencia de resonancia para la conexión RLC serie:

Zeq(Wo) = eq En resonancia, C y L en serie pueden sustituirse por un cortocircuito, pero cae tensión en C y L que se compensan entre sí.

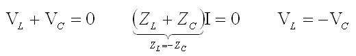
- Frecuencia de resonancia para la conexión RLC paralelo:

En resonancia, C y L en paralelo pueden sustituirse por un circuito abierto, pero pasa corriente por C y L que se compensa.

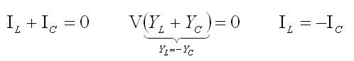
La corriente que atraviesa la bobina tiene el mismo valor que la que atraviesa el condensador, pero sentido contrario.
Por lo general, estas corrientes son distintas de cero.
Dado el siguiente circuito:


1 |
La corriente |
2 |
La tensión VC2 en bornes del condensador C2 vale: |
3 |
La tensión de Thevenin o tensión entre los nodos a y b vale: |
Dado el siguiente circuito:


4 |
La tensión en los extremos del condensador vale: |
5 |
La corriente en la resistencia R2 vale: |
6 |
La corriente IL que atraviesa el condensador vale: |