Concepto de fasor
Audio: Concepto de fasor
Una función senoidal admite una representación en el plano complejo llamada representación fasorial.
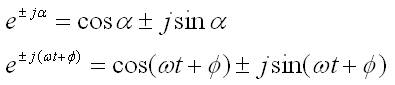
Relación de Euler:

Luego:

Como la ω no varia bastará considerar XM y
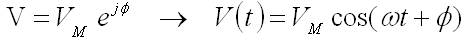
→ FASOR:
![]()
El fasor es un nº complejo que caracteriza la respuesta de un circuito en régimen permanente sinusoidal.
La magnitud eléctrica asociada se reconstruye:
![]()
En circuitos con varias fuentes de frecuencias diferentes se aplica superposición lineal para la resolución.
AUTOEVALUACIÓN
1 |
Relación seno-cosenoRelaciona cada función con la función desfasada correspondiente para completar la igualdad |
2 |
3 |
Señal correspondiente a un fasorMarque aquellas señales a las cuales correspondería un fasor de módulo 5 y fase 45 grados |
4 |
Impedancia de una resistenciaEl fasor de impedancia correspondiente a una resistencia de 100ohmios es Z = 100ohmios |