Concepto de impedancia y admitancia para los componentes básicos.
Audio: Concepto de impedancia y admitancia para los componentes básicos
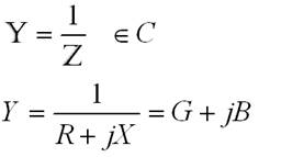
Impedancia (Z) de un componente


Admitancia (Y) de un componente

G= conductancia B= susceptancia
[G, B]= Ω-1 o S
Nota:

Ejercicio propuesto: Calcular las expresiones de G y B en función de R y X.
AUTOEVALUACIÓN
1 |
Impedancia de un condensadorEl fasor de impedancia correspondiente a un condensador de 10 µF trabajando a una frecuencia angular de 1000 rad/s es Z = 100j (ohmios) |
IMPEDANCIAS DE LOS COMPONENTES BÁSICOS
Audio: Impedancias de los componentes básicos
Resistencia:

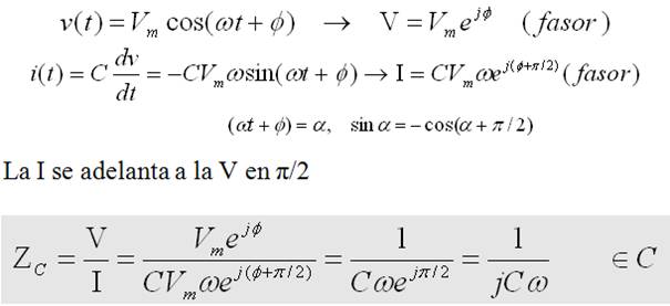
Condensador:

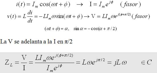
Bobina:

AUTOEVALUACIÓN
2 |
Impedancia en una bobinaLa impedancia de una bobina de 5 H trabajando a una frecuencia w=100 rad/s es Z = 500j (Ω), o un fasor de módulo 500 y fase 0º |
Aplicar la ley de Ohm junto con lo visto de fasores
3 |
Ley de Ohm en regimen permanente sinusoidalSea i(t)= 2 cos 20t (A) la corriente que atraviesa una resistencia de 5 Ω. Marque la tensión que cae en regimen permanente sinusoidal entre los extremos de dicha resistencia: |
4 |
Ley de Ohm en regimen permanente sinusoidalSea i(t)= 2 cos 20t (A) la corriente que atraviesa una bobina de 5 mH. Marque la tensión que cae en regimen permanente sinusoidal entre los extremos de dicha bobina: |
5 |
Ley de Ohm en regimen permanente sinusoidalSea i(t)= 2 cos 20t (A) la corriente que atraviesa un condensador de 10 mH. Marque la tensión que cae en regimen permanente sinusoidal entre los extremos de dicho condensador: |
Sea i(t)= 2*cos(20t) A la corriente que atraviesa un dispositivo. Encuentre la tensión en régimen permanente sinusoidal que cae en dicho dispositivo si éste es:
6 |
Una resitencia de 5 ohmnios. |
7 |
Una bobina de L= 5mh. |
8 |
Un condensador de C= 10mF. |
Sea i(t) = sen (100t + 30º) (A) la corriente que atraviesa un dispositivo. Encuentre la tensión en régimen permanente sinusoidal que cae en dicho dispositivo si éste es:
9 |
Una resistencia de 10 ohmios: |
10 |
Una bombilla de L= 1mL |
11 |
Un condensador C = 100 uF |
12 |
En los extremos de un condensador se registra una tensión v(t) = 300·cos(50t + 60º)(V) ¿Cuál es la corriente que atraviesa el condensador ( C = 200 uF)? |