Filtros elementales de 1er orden.
Sólo pueden ser paso bajo o paso alto.
Si son filtros pasivos sólo llevan un elemento que almacena energía (un condensador o una bobina)
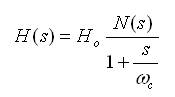
Expresión general de H(s):

N(s) polinomio de grado ≤ 1
wc es la frecuencia de corte.
NOTA:

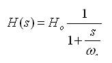
3.1 Filtro paso bajo.
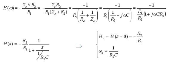
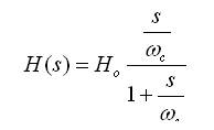
Expresión general de H(s):

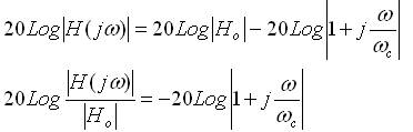
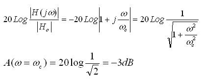
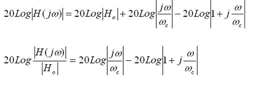
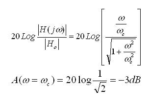
Respuesta en amplitud:

Respuesta real en amplitud:


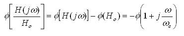
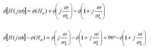
Respuesta en fase:

El término de fase correspondiente a
corresponde a 0º (ó 180º si Ho es negativo) y se suele representar:


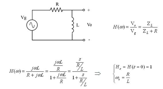
Ejemplos de filtros paso bajo pasivos:
Circuitos RC o RL con salida en C o en R, respectivamente:


Sobre esta base el circuito puede complicarse todo lo que se quiera, manteniendo sólo un único C o L.
Filtro paso bajo activo:


Es el filtro paso bajo activo con menor nº de componentes.
NOTAS:

3.2 Filtro paso alto.
Expresión general de H(s):

Respuesta en amplitud:


Respuesta real en amplitud:

Respuesta en fase:


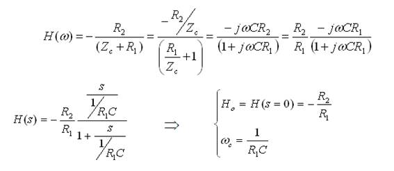
Ejemplos de filtros paso alto pasivos:
Circuitos RC o RL con salida en R o en L, respectivamente.


Sobre esta base el circuito puede complicarse todo lo que se quiera, manteniendo sólo un único C o L.
Filtro paso alto activo:

