Ecuación diferencial y condiciones iniciales.
Tras aplicar las leyes de Kirchhoff a los circuitos de 1º y 2º orden obtendremos ecuaciones como estas:

Donde a,b,c=ctes.
La solución completa de una ecuación diferencial lineal (con coeficientes ctes.) se compone de dos sumandos:
1.Solución general (de la ec. homogénea):
Se obtiene resolviendo la ecuación cuando g(t) se hace cero, es decir cuando se anula la excitación del circuito (se considera únicamente la energía almacenada en los elementos reactivos). Esta solución se conoce como respuesta natural, propia o libre, fn(t).
2.Solución particular:
Depende del tipo de excitación del circuito. Esta solución se conoce como respuesta forzada, ff(t).
Solución completa = sol. general + sol. particular
![]()
Condiciones iniciales de los elementos
Para determinar las constantes de integración es necesario conocer el estado del circuito en un instante de tiempo determinado. En la práctica este instante se hace coincidir con la conexión o desconexión de los interruptores. Por conveniencia se toma t=0, de tal forma que t=0- representa el instante inmediatamente anterior a la conmutación y t=0+ el inmediato posterior.
El estado del circuito en t=0- se define con la tensión en bornes de capacidades e intensidades por las bobinas. Estas condiciones se conocen como condiciones iniciales.
Para evaluar las constantes de integración en t=0+ hay que tener en cuenta que variables son continuas en t=0 (es decir f(0-)=f(0+)).
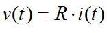
Resistencia:
![]()
La tensión sigue instantáneamente las variaciones de la corriente.
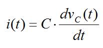
Condensador:

La tensión no puede variar de forma instantánea (i(t)→∞), entonces vC(0-)=vC(0+)=vC(0).
En c.c., régimen permanente t=∞, C= circuito abierto.
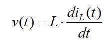
Inductancia:

La corriente no puede variar de forma instantánea (v(t)→∞), entonces iL(0-)=iL(0+)= iL(0).
En c.c., régimen permanente t=∞, L= cortocircuito.